A Comprehensive Sobel Test Calculation Involving Multiple Mediation Variable
Sobel test merupakan teknik pengujian pengaruh tidak langsung variabel eksogen (independent variable) terhadap variabel endogen (dependent variable) melalui variabel mediasi. Variabel mediasi atau disebut dengan intervening variable variabel yang menghubungkan (menjadi perantara) hubungan kausalitas (pengaruh) variabel eksogen terhadap variabel endogen. Dengan demikian variabel mediasi bisa berperan sebagai variabel eksogen sekaligus berperan sebagai variabel endogen. Dalam penelitian yang lebih komprehensif, tidak cukup hanya menggunakan satu variabel mediasi, terkadang menggunakan dua variabel mediasi, bahkan lima atau lebih variabel mediasi.
Contoh berikut merupakan penelitian yang menggunakan dua variabel mediasi :
by : Danny Prasetyo Hartanto (2023)
Using The InQuest Calculator


Contoh dari gambar di atas "Pengaruh Adversity Quotient terhadap Academic Procrastination melalui Achievement Motivation melalui Burnout" berasal dari tiga hipotesis pengaruh langsung, diantaranya [H1] Pengaruh Adversity Quotient terhadap Achievement Motivation ; [H2] Pengaruh Achievement Motivation terhadap Burnout ; dan [H3] Pengaruh Burnout terhadap Academic Procrastination. Dari hipotesis 1, Achievement Motivation berperan sebagai variabel endogen bagi Adversity Quotient (eksogen), sementara hipotesis 2, Achievement Motivation berperan sebagai variabel eksogen terhadap Burnout (endogen). Selanjutnya hipotesis 2, Burnout berperan sebagai variabel endogen bagi Achievement Motivation (eksogen), sementara hipotesis 3, Burnout berperan sebagai variabel eksogen terhadap Academic Procrastination (endogen). Diperhatikan lebih detail lagi, Achievement Motivation dan Burnout memiliki 2 peran, yaitu sebagai variabel eksogen sekaligus sebagai endogen. Dengan demikian Achievement Motivation dan Burnout diduga menjadi variabel mediasi (intervening).
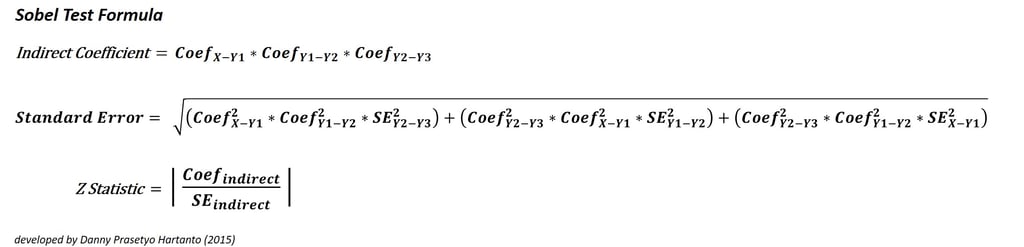
Perhitungan Sobel Test dengan Dua Variabel Mediasi


Formula (Rumus) Sobel Test dengan dua variabel mediasi adalah sebagai berikut :


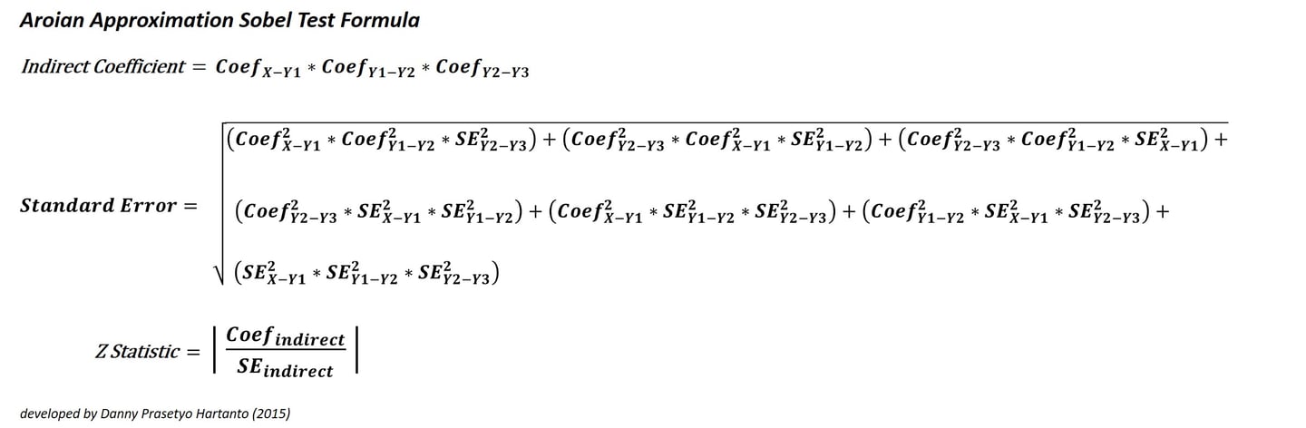
Formula (Rumus) AROIAN Approximation Sobel Test dengan dua variabel mediasi adalah sebagai berikut :


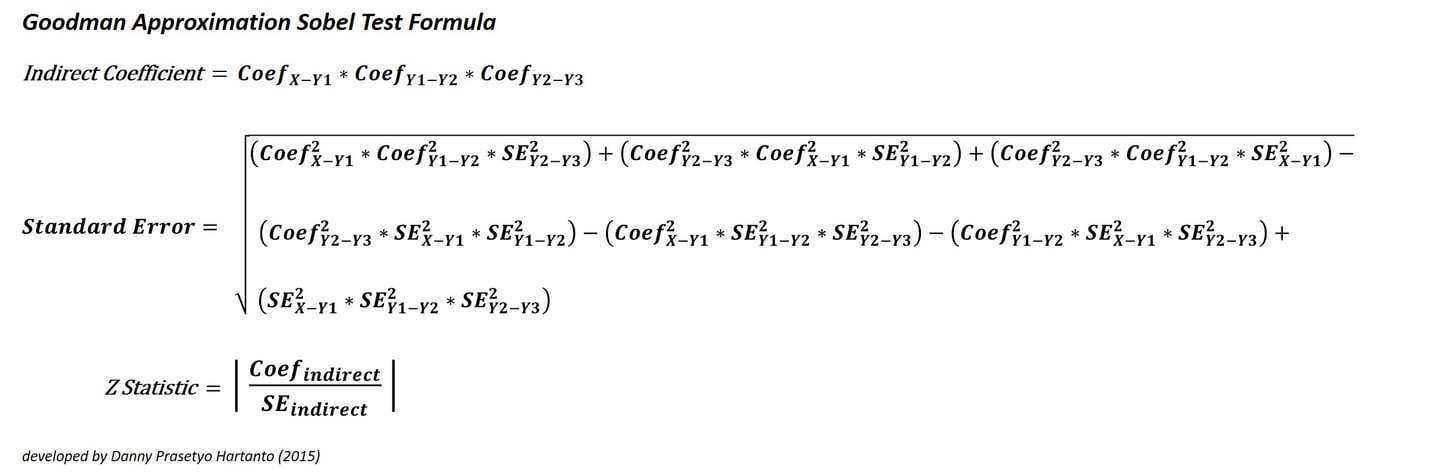
Formula GOODMAN Approximation Sobel Test dengan dua variabel mediasi (double mediasi) adalah sebagai berikut :


Contoh Kasus Penelitian dengan Tiga Variabel Mediasi
Contoh berikut merupakan penelitian yang menggunakan tiga variabel mediasi :


Contoh dari gambar di atas "Pengaruh Capital Structure terhadap Company's Value melalui Profitability melalui Dividend Policy melalui Assets Structure" berasal dari lima hipotesis pengaruh langsung, diantaranya :
[H1] Pengaruh Capital Structure terhadap Profitability
[H2] Pengaruh Profitability terhadap Dividend Policy
[H3] Pengaruh Dividend Policy terhadap Assets Structure
[H4] Pengaruh Assets Structure terhadap Company's Value
Apabila diperhatikan lebih detail lagi, Profitability; Dividend Policy; Assets Structure memiliki 2 peran, yaitu sebagai variabel eksogen sekaligus sebagai endogen. Dengan demikian Profitability; Dividend Policy; Assets Structure diduga menjadi variabel mediasi (intervening).
Contoh Kasus Penelitian dengan Empat Variabel Mediasi
Contoh berikut merupakan penelitian yang menggunakan empat variabel mediasi :


Contoh dari gambar di atas "Pengaruh Spiritual Quotient terhadap Audit Quality Reduction Behavior melalui Work-Family Conflict melalui Quality Work Life melalui Stress Arousal melalui Job Burnout" berasal dari lima hipotesis pengaruh langsung, diantaranya :
[H1] Pengaruh Spiritual Quotient terhadap Work-Family Conflict
[H2] Pengaruh Work-Family Conflict terhadap Quality Work Life
[H3] Pengaruh Quality Work Life terhadap Stress Arousal
[H4] Pengaruh Stress Arousal terhadap Job Burnout
[H5] Pengaruh Job Burnout terhadap Audit Quality Reduction Behavior.
Apabila diperhatikan lebih detail lagi, Work-Family Conflict, Quality Work Life, Stress Arousal, Job Burnout memiliki 2 peran, yaitu sebagai variabel eksogen sekaligus sebagai endogen. Dengan demikian Work-Family Conflict, Quality Work Life, Stress Arousal, Job Burnout diduga menjadi variabel mediasi (intervening).
Contoh Kasus Penelitian dengan Lima Variabel Mediasi
Contoh berikut merupakan penelitian yang menggunakan lima variabel mediasi :


Contoh dari gambar di atas "Pengaruh Emotional Quotient terhadap Employee Productivity melalui Work Life Balance melalui Job Burnout melalui Employee Engagement melalui Counterproductive Work Behavior melalui Turnover Intention" berasal dari enam hipotesis pengaruh langsung, diantaranya :
[H1] Pengaruh Emotional Quotient terhadap Work Life Balance
[H2] Pengaruh Work Life Balance terhadap Job Burnout
[H3] Pengaruh Job Burnout terhadap Employee Engagement
[H4] Pengaruh Employee Engagement terhadap Counterproductive Work Behavior
[H5] Pengaruh Counterproductive Work Behavior terhadap Turnover Intention
[H6] Pengaruh Turnover Intention terhadap Employee Productivity.
Apabila diperhatikan lebih detail lagi, Work Life Balance; Job Burnout; Employee Engagement; Counterproductive Work Behavior; Turnover Intention memiliki 2 peran, yaitu sebagai variabel eksogen sekaligus sebagai endogen. Dengan demikian Work Life Balance; Job Burnout; Employee Engagement; Counterproductive Work Behavior; Turnover Intention diduga menjadi variabel mediasi (intervening).
InQuest Calculator
Formula sobel test dengan 2 variabel mediasi tentu saja terlihat cukup rumit apabila peneliti menghitung secara manual menggunakan MS-Excel. Oleh karena itu, Arena Statistics menciptakan InQuest Calculator Sobel Test khusus menghitung sobel test yang melibatkan multi mediasi untuk mempermudah peneliti tanpa pusing memikirkan formula dalam excel. Semoga bermanfaat.
Referensi :
[1] Aroian, L. A. 1944/1947. The Probability Function Of The Product Of Two Normally Distributed Variables. Annals of Mathematical Statistics,
18, 265-271.
[2] Baron, R. M., & Kenny, D. A. 1986. The Moderator-Mediator Variable Distinction In Social Psychological Research: Conceptual, Strategic,
And Statistical Considerations. Journal of Personality and Social Psychology, 51, 1173-1182.
[3] Goodman, L. A. 1960. On The Exact Variance Of Products. Journal of the American Statistical Association, 55, 708-713.
[4] MacKinnon, D. P., & Dwyer, J. H. 1993. Estimating Mediated Effects In Prevention Studies. Evaluation Review, 17, 144-158.
[5] MacKinnon, D. P., Warsi, G., & Dwyer, J. H. 1995. A Simulation Study Of Mediated Effect Measures. Multivariate Behavioral Research,
30, 41-62.
[6] Sobel, M. E. 1982. Asymptotic Intervals For Indirect Effects In Structural Equations Models. In S. Leinhart (Ed.), Sociological Methodology,
290-312. San Francisco: Jossey-Bass.
 - versi 2 White-AMqzvNxKRPfRLVOA.png)