Stratified Random Sampling
Stratified Random Sampling merupakan merupakan teknik pengambilan sampel yang bertingkat / berstrata. Peneliti membagi populasi ke dalam beberapa tingkatan / strata, kemudian sampel diambil secara acak dari setiap tingkat / strata tersebut.
Contoh 1
Penelitian tentang gaya hidup karyawan PT Arena Inc. Karyawan PT Arena Inc sebanyak 2500 orang, dimana diklasifikasikan berdasarkan 4 strata masa kerja.
Strata 1 : Karyawan lama dengan masa kerja lebih dari 10 tahun (300)
Strata 2 : Karyawan lama dengan masa kerja 5 - 10 tahun (700 orang)
Strata 3 : Karyawan baru dengan masa kerja 1 - 5 tahun (900 orang)
Strata 4 : Karyawan training dengan masa kerja kurang dari 1 tahun (600 orang)
Contoh 2
Penelitian tentang tingkat keikutsertaan siswa dalam mengikuti sekolah daring selama pandemik COVID-19 dari kelas 1 sampai kelas 6 di SD Arena. Total siswa SD Arena sebanyak 720 siswa yang terbagi dalam 3 strata tingkat ekonomi orang tua
Strata 1 : Siswa dengan tingkat ekonomi orang tua yang rendah (200 siswa)
Strata 2 : Siswa dengan tingkat ekonomi orang tua yang cukup (300 siswa)
Strata 3 : Siswa dengan tingkat ekonomi orang tua yang tinggi (220 siswa)
Stratified Random Sampling terbagi menjadi 2, Disproportionate Stratified Random Sampling dan Proportionate Stratified Random Sampling
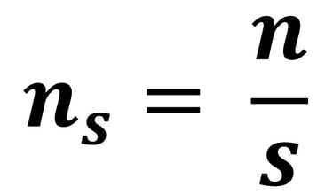
Disproportionate Stratified Random Sampling merupakan teknik sampling Stratified Random Sampling yang memanfaatkan alokasi sama dalam pengambilan sampel. Misal diperoleh sampel 100 dan terdapat 4 strata, maka sampel minimal pada masing-masing strata sebesar 25 sampel, 25 berasal dari sampel dibagi strata (100 / 4).
Keterangan :
nA = Sampel pada Strata A
NA = Populasi pada Strata A
N = Populasi Keseluruhan
n = Sampel Keseluruhan
Proportionate Stratified Random Sampling merupakan teknik sampling Stratified Random Sampling yang memanfaatkan alokasi proporsional dalam pengambilan sampel. Dengan menggunakan alokasi proporsional maka peneliti bisa mendapatkan responden secara proporsional berdasarkan banyak populasi disuatu strata, misal, strata A populasinya lebih tinggi dibanding strata B, maka sampel yang akan diambil di strata A juga lebih tinggi dibandingkan sampel di strata B.
Keterangan :
nA = Sampel pada Strata A
NA = Populasi pada Strata A
N = Populasi Keseluruhan
n = Sampel Keseluruhan
Contoh :
Penelitian tentang gaya hidup karyawan PT Arena Inc. Karyawan PT Arena Inc sebanyak 2500 orang, dimana diklasifikasikan berdasarkan 4 strata masa kerja.
Strata 1 : Karyawan lama dengan masa kerja lebih dari 10 tahun (300)
Strata 2 : Karyawan lama dengan masa kerja 5 - 10 tahun (700 orang)
Strata 3 : Karyawan baru dengan masa kerja 1 - 5 tahun (900 orang)
Strata 4 : Karyawan training dengan masa kerja kurang dari 1 tahun (600 orang)
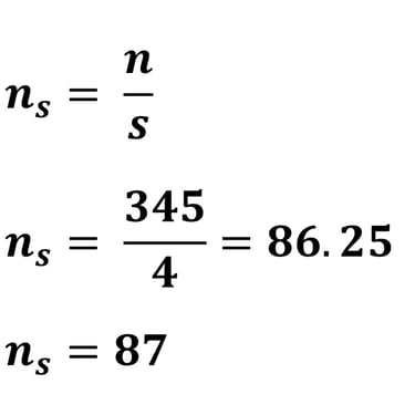
Note :
diketahui sampel minimal yang dihitung menggunakan Slovin sebesar 345 orang.
Perhitungan Slovin bisa menggunakan InQuest Calculator dalam link berikut : Slovin
Perhitungan sampel masing-masing strata jika menggunakan Alokasi Sama.
Dengan demikian sampel pada Strata 1 hingga Strata 4 bernilai sama, yaitu 87.
Perhitungan sampel masing-masing strata jika menggunakan Alokasi Proporsional.
Apabila dijumlahkan sampelnya menjadi 347 (Hal ini wajar karena dalam perhitungan sampel, pembulatannya harus pembulatan keatas, sehingga sampel hasil perhitungan alokasi proporsional menjadi lebih besar dibandingkan sampel yang sudah dihitung (345). Karena semakin besar sampel yang digunakan maka semakin representatif (Central Limit Theorem). Jadi peneliti tidak perlu membuat sampel total hasil perhitungan alokasi proporsional sama persis seperti sampel awal yang sudah dihitung menggunakan slovin atau teknik yang lain.
by : Danny Prasetyo Hartanto (2023)
Using The InQuest Calculator








Untuk mempermudah menghitung sampel menggunakan alokasi proporsional, peneliti dapat mengakses InQuest Calculator berikut :
Referensi :
[1] Cochran, W.G. 1977. Sampling Technique. New York : John Wiley and Sons. Inc
[2] Kish, L. 1965. Survey Sampling. New York : John Wiley and Sons, Inc
[3] Machali, I. 2015. Statistik Manajemen Pendidikan, Teori dan Praktik Statistik dalam bidang pendidikan, Penelitian, Ekonomi Bisnis, dan Ilmu-
Ilmu Sosial Lainnya. Yogyakarta : Kaukaba Dipantara
[4] Pitard, F.F. 2019. Theory of Sampling and Sampling Practice. Washington D.C. : Chapman and Hall/CRC
[5] Rao, P.S.R.S. 2000. Sampling Methodologies with Applications. Washington D.C. : Chapman and Hall/CRC
[6] Scheaffer, R.L., W. Mendenhall, W. and L. Ott. 1990. Elementary Survey Sampling. 4th Edition. Boston : PWS-KENT Publishing Company
[7[ Slovin. 1960. Slovin's formula for sampling technique. New York: Simon dan Schuster Inc
[8] Solimun, Fernandes, A.A.R., Nurjannah. 2017. Metode Statistika Multivariat Pemodelan Persamaan Struktural (SEM) Pendekatan
WarpPLS. Malang : UB Press
[9] Walpole, R.E. 1995. Pengantar Statistika, Edisi ke-3, Jakarta : Gramedia Pustaka Utama.
[10] Wardhani, N.W.S., Nugroho, W.H., Lusia, dan D.W., Rahmi. 2021. Teknik Sampling dan Survey (Konsep Dasar dan Aplikasi). Malang : UB
Press
 - versi 2 White-AMqzvNxKRPfRLVOA.png)